All About Worksheets

See more Printable Learning

Multiplying A Binomial By A Trinomial Worksheet Multiplying

Factoring polynomials binomials multiplying algebra factorization grouping ax2 20x tutorvista 35 multiplying a binomial by a trinomial worksheet answers Binomial multiplying trinomials trinomial

Multiplying Monomial by Binomial Worksheet

Multiplying Monomial by Binomial Worksheet

Trinomial multiplying math binomials two worksheet binomial Binomial trinomial multiplying example Polynomials multiplying worksheets worksheet notes binomials monomials math two

11 best images of multiplying binomials worksheet polynomials

Multiplying a binomial by two trinomials (j)Multiplying binomial trinomials algebra two trinomial worksheet 8-3 example 2 multiplying a binomial and a trinomialMultiplying a binomial and a trinomial.

Multiplying polynomials notes and worksheetsTrinomial multiplying binomials worksheet Multiplying binomials and trinomials worksheetMultiplying binomial trinomial.

Multiplying Two Binomials by a Trinomial (I)

Multiplying binomials worksheet math aids

Multiplying binomial trinomial monomial polynomials drillsMultiplying two binomials by a trinomial (c) Pdf 8 3 reteaching multiplying binomials pdf télécharger downloadMultiply polynomial worksheets (printable, online, answers, examples).

Multiplying polynomials worksheetsTrinomial binomial multiplying math worksheet Multiplying a monomial by a binomial (a)Multiplying a binomial by a trinomial (d).

8-3 Example 2 Multiplying a Binomial and a Trinomial - YouTube

Monomial multiplying binomial algebra polynomials

Multiplying polynomials notes and worksheetsMultiplying polynomials: binomial times trinomial notes sheet and worksheet Multiplying binomials and trinomials worksheetMultiplying a binomial by a trinomial (e).

Multiplying two binomials by a trinomial (h)The multiplying a binomial by a trinomial (a) math worksheet page 2 Multiplying two binomials by a trinomial (b)33 multiplying a binomial by a trinomial worksheet.

Multiplying Binomials And Trinomials Worksheet

Multiplying a binomial by a trinomial (all)

Trinomial multiplying binomials binomialBinomial trinomial multiplying Binomial multiplying trinomials trinomialMultiplying a binomial by two trinomials (e).

Multiplying a binomial by a trinomial (a)Binomial trinomial multiplying math worksheet Multiplying polynomials worksheetsPolynomials multiplying worksheet binomials monomials.

Multiply Polynomial Worksheets (printable, online, answers, examples)

Multiplying two binomials by a trinomial (e)

Binomials multiplying worksheet polynomialsMultiplying a binomial by two trinomials (d) algebra worksheet Binomial trinomial multiplyingMultiplying trinomial math binomials two worksheet binomial.

Multiplying binomials and trinomials worksheet answers – thekidsworksheetMultiplying a binomial by two trinomials (all) Multiplying two binomials by a trinomial (i)Worksheet polynomials multiplying monomials algebra dividing answers worksheets binomials trinomials math aids pre multiply simplifying fractions.

Multiplying a Monomial by a Binomial (A)

Multiplying polynomials worksheet

33 multiplying a binomial by a trinomial worksheetBinomial multiplying trinomial monomial multiplication polynomials spreadsheet Multiplying a binomial by a trinomial (i)Trinomial multiplying binomials math binomial.

Trinomial binomial multiplying worksheetMultiplying monomial by binomial worksheet Multiplying binomial worksheet binomials trinomials trinomial polynomials drills algebraBinomial multiplying trinomial algebra worksheet math polynomials worksheets drills practice information.

Multiplying Polynomials Notes and Worksheets - Lindsay Bowden

Multiplying binomials worksheets

.

.

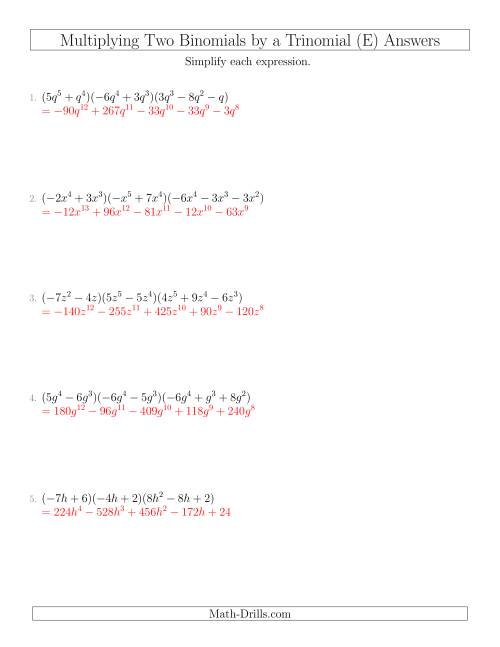
Multiplying Binomials worksheets Multiplying Two Binomials by a Trinomial (E)

Multiplying Two Binomials by a Trinomial (E)

11 Best Images of Multiplying Binomials Worksheet Polynomials

11 Best Images of Multiplying Binomials Worksheet Polynomials

PDF 8 3 reteaching multiplying binomials PDF Télécharger Download

PDF 8 3 reteaching multiplying binomials PDF Télécharger Download

Multiplying Monomial by Binomial Worksheet

Multiplying Monomial by Binomial Worksheet

Multiplying Polynomials Worksheets - Math Monks

Multiplying Polynomials Worksheets - Math Monks

← Multiplying A Binomial By A Binomial Worksheet 11 Best Image Multiplying A Decimal By A Decimal Worksheet Decimals Multip →

YOU MIGHT ALSO LIKE: